希少な宝石をあなたの価値あるジュエリーに

ご予約•お問い合わせはこちら
TEL. 078-322-1114
営業時間 10:00~18:30
店舗営業につきましては、完全予約制とさせていただきます。



ホームページに掲載されている商品を実際に手に取ってご覧いただけます。
店内の宝石は全てG.I.A.G,G(米国宝石学会後任鑑定士)の有資格者である店主が直接買い付けをしていますのでご安心いただけます。
宝石業界歴30年のエキスパートの店主が接客いたします。



宝石やジュエリーの選び方が本当に自分のものに出来ていないと、どうしてもお手軽でお値段が安いからという理由で商品を選んでしまいがちです。
同じ商品であれば当然お値段が安い商品の方が良いのは当たり前のことですが、より良い宝石を選ぶために最も大事なこととは、これから選ぼうとするものが本当に良いものであるのかどうか、そして安心できるものであるのかどうかが一番大切なことです。
出会えて良かったと満足できる良いジュエリーの選び方をお伝えしたいと思います。



ご希望の宝石、ジュエリー、お好みのデザイン、ご予算からあなたに最適なご提案をさせていただきます。
男性のお客様もどうぞお気軽にご相談ください。
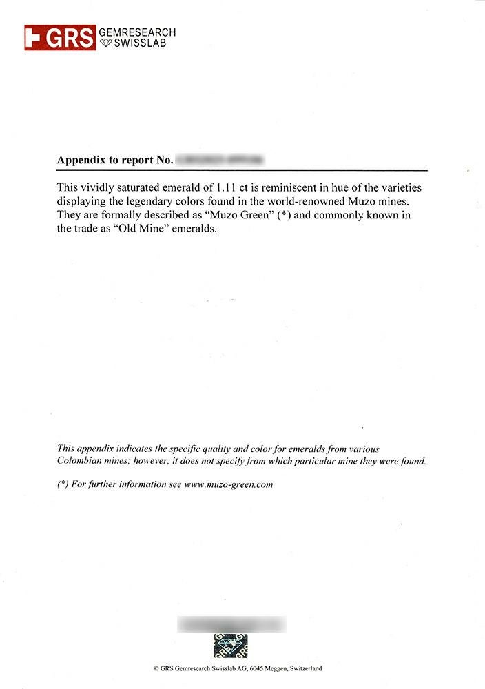
厳選された高品質のコロンビア産無処理ノンエンハンスメントエメラルドやカシミールサファイア、ミャンマー産非加熱ピジョンブラッドルビーも必見です。
生涯かけがえのないジュエリー、お客様の唯一無二な夢を叶えます。